Взаимосвязь степени связности графа, энергии и информации нанокластеров
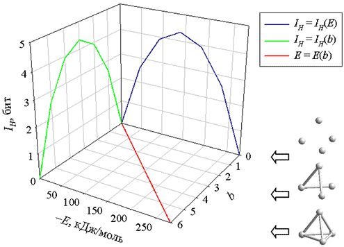
Природные процессы, управляемые в термостатистических макросистемах компромиссом принципов квантовой механики с принципами статистической термодинамики, на уровне кластеров наночастиц управляются принципом «минимакса» информации эволюции. Поэтому процессы кластерной самоорганизации термостатистических систем могут идти в различных режимах по такому параметру как информация.

Регулирование информационного режима процессов самоорганизации кластеров в термостатистических макросистемах химических наночастиц с целью повышения, понижения или стабильности информационной ёмкости нанокластеров представляют несомненный интерес для информационных технологий и современных биотехнологий. Возможность целенаправленного регулирования процессов самоорганизации кластеров в термостатистических системах химических частиц лежит в основе современной нанотехнологии.
Существенно то, что подбором интенсивных параметров термостата (температура, давление, химический потенциал, напряжённости различных внешних силовых полей), состава элементарных частиц ядер и электронов можно точно подобрать и создать режим термостатистического процесса нанокластерной самоорганизации, при котором информационная ёмкость всей системы будет выходить на максимум и поддерживаться устойчивой. По-видимому, этот режим реализуется в биологических системах на стадиях их роста и зрелости. Естественный процесс потери информации реализуется на стадиях старения биологических организмов.
